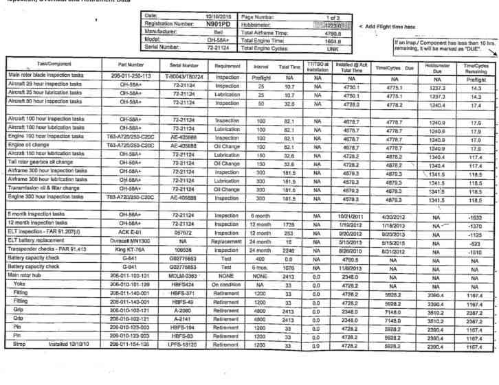
BELL 1972 OH58A+ Airframe Total time 4,760 hrs, Engine Type 250 C20C 1,694 hrs, confirmed.
Item specifics
| Condition: | Used | Make: | BELL |
| Model Year: | 1972 |
Buyer must pick-up at Western Carolina Regional Airport KRHP. Helicopter can not be exported. Current date: 2017-02-02









